缸筒计算

 

1

 

项目

      

          

 

当液压缸的理论作用力F(包括推力F1和拉力F2)及供油压力p为已知时,则无活塞杆侧的缸筒内径为

有活塞杆侧缸筒内径为

液压缸的理论作用力按下式确定

Qvυ为已知时,则缸筒内径(未考虑容积效率ηv),按无活塞杆侧为

按有活塞杆侧为

最后将以上各式所求得的D值进行比较,选择其中最大者,圆整到标准值(见表液压缸的主要参数)

d —— 活塞杆直径,m,(表活塞杆的计算)

p —— 供油压力,MPa

F1F2 —— 液压缸的理论推力和拉力,N

F0 —— 活塞杆上的实际作用力,N

ψ —— 负载率,一般取ψ0.50.7

ηt —— 液压缸的总效率(见表液压缸主要技术性能参数的计算)

Qv —— 液压缸的体积供油量(假定两侧的供油量相同,即Qv1Qv2),m3/s

υ1υ2 —— 活塞杆伸出及缩回时的速度,m/s

δ0 —— 缸筒材料强度要求的最小值,m

c1 —— 缸筒外径公差余量,m

c2 —— 腐蚀余量,m

D —— 缸筒内径,m

pmax —— 缸筒内最高工作压力,MPa

σp —— 缸筒材料的许用应力,MPa

σb —— 缸筒材料的抗拉强度,MPa

n —— 安全系数,通常取n5,最好是按下表进行选取

液压缸的安全系数

 

缸筒壁厚为:

δδ0+c1+c2

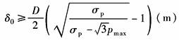
关于δ0的值,可按下列情况分别进行计算

δ/D0.08时,可用薄壁缸筒的实用公式:

δ/D0.080.3

δ/D0.3

 

材料名称

静载荷

交变载荷

冲击载荷

 

不对称

对称

 

钢、锻铁

3

5

8

12

 

 

σs —— 缸筒材料屈服强度,MPa

prL —— 缸筒发生完全塑性变形的压力,MPa

pr —— 缸筒耐压试验压力,MPa

E —— 缸筒材料弹性模数,MPa

v —— 缸筒材料泊松比,钢材v0.3

实际上,当δ/D0.2时,材料使用不够经济,应改用高屈服强度的材料

国内外工厂实际采用的缸筒壁厚外径D1,见下表2,供设计时参考

 

对最终采用的缸筒壁厚应作四方面的验算

额定工作压力PN应低于一定极限值,以保证工作安全:

或    

同时额定工作压力也应与完全塑性变形压力有一定的比例范围,以避免塑性变形的发生:

此外,尚须验算缸筒径向变形DD应处在允许范围内

变形量△D不应超过密封圈允许范围

最后,还应验算缸筒的爆裂压力pE

也可用费帕尔(FAUPEL)公式

计算的pE值应远超过耐压试验压力prpE  » pr

 

缸筒底部为平面时,其厚度δ1可以按照四周嵌住的圆盘强度公式进行近似的计算:

p —— 筒内最大工作压力,MPa

δp —— 筒底材料许用应力,MPa,其选用方法与上述缸筒厚度计算相同

D2 —— 计算厚度外直径,m

β —— 系数,当H/D00.20.3时,取β1.62.5

D0 —— 缸底外径,m

 

缸筒底部为拱形时(如图中所示R0.8Dr0.125D),其厚度用下式计算:

 

 

如不考虑螺孔(dL),则为:

F —— 法兰在缸筒最大内压下所承受的轴向压力,N

缸筒头部法兰厚度

 

缸筒与端部用螺纹连接时,缸筒螺纹处的强度计算如下:

螺纹处的拉应力

螺纹处的剪应力

合成应力

许用应力

F —— 缸筒端部承受的最大推力,N

D —— 缸筒内径,m

d0 —— 螺纹外径,m

d1 —— 螺纹底径,m

K —— 拧紧螺纹的系数,不变载荷取K1.251.5,变载荷取K2.54

K1 —— 螺纹连接的摩擦因数,K10.070.2,平均取K10.12

σs —— 缸筒材料的屈服点,MPa

n0 —— 安全系数,取n01.22.5

螺纹连接的缸筒

 

缸筒与端部用法兰连接或拉杆连接时,如图a所示。螺栓或拉杆的强度计算如下:

螺纹处的拉应力

螺纹处的切应力

合成应力

如采用长拉杆连接,当行程超过缸筒内径20倍(S20D)时,为防止拉杆偏移,需加装中接圈或中支承块,焊接或用螺钉固定在缸筒外壁中部上,如图b,图c所示

z —— 螺栓或拉杆的数量

 

缸筒与端部用卡环连接时,卡环的强度计算如下:

卡环的切应力(AA断面处)

卡环侧面的挤压应力(ab侧面上)

卡环尺寸一般取

验算缸筒在AA断面上的拉应力

卡环连接的缸筒

p —— 缸内最大工作压力,MPa

D1 —— 缸筒外径,m

d1 —— 焊缝底径,m

F —— 缸内最大推力,N

η —— 焊接效率,取η0.7

σb —— 焊条材料的抗拉强度,MPa

n —— 安全系数,参照缸筒壁的安全系数选取

焊接连接的缸筒

 

缸筒与端部用焊接连接时,其焊缝应力计算如下:

 

  

缸径推荐尺寸                                                                                                                                                                                                   mm

缸径D

25

90

180

360

32

100

200

400

40

110

220

450

50

125

250

500

63

140

280

 

80

160

320

 

 

缸筒推荐壁厚                                                                                                                                                                                                   mm

缸径

缸筒壁厚

缸径

缸筒壁厚

2570

45.567.5810

250320

1517.52022.52528.5

70120

56.578101113.514

320400

1518.522.525.528.5303538.5

120180

7.5910.512.513.5151719

400500

202528.530354045

180250

1012.51517.52022.525