|
内啮合齿轮的干涉现象和防止干涉的条件 |
|||||
|
名 称 |
简 图 |
定义 |
不产生干涉的条件 |
防止干涉 的措施 |
说 明 |
|
渐 开 线 干 涉 |
|
当实际啮合线的端点B2落在理论啮合线的极限点N1的左侧时,便发生渐开线干涉 |
|
1.加大齿廓角 2.加大内齿轮和小齿轮的变位系数 |
用插齿刀加工内齿轮时,在这种干涉下,内齿轮产生范成顶切。不产生顶切的插齿刀最少齿数见表加工标准内齿轮时,不产生展成顶切的插齿刀最少齿数z0min、表加工内齿轮不产生展成顶切的插齿刀最少齿数z0min和表加工内齿轮不产生展成顶切的插齿刀最少齿数z0min |
|
齿 廓 重 叠 干 涉 |
|
结束啮合的小齿轮的齿顶在退出内齿轮齿槽时,与内齿轮齿顶发生的重叠干涉称为齿廓重叠干涉 |
|
1.增大齿廓角 2.减小齿顶高 3.加大内齿轮和小齿轮的齿数差 4.加大内齿轮的变位系数(增大小齿轮的变位系数时,容易引起干涉) |
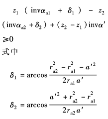
用插齿刀加工内齿轮时,在这种干涉下,内齿轮的齿顶渐开线部分将遭到顶切,不产生重叠干涉时的(z2-z1)min值见表不产生重叠干涉的条件 αa1、αa2——齿轮1、2的齿顶压力角 α'——啮合角 |
|
过 渡 曲 线 干 涉 |
|
当小齿轮的齿顶与内齿轮的齿根过渡曲线部分接触,或者内齿轮的齿顶与小齿轮的齿根过渡曲线部分接触时,便引起过渡曲线干涉 |
1.不产生内齿轮齿根过渡曲线干涉的条件:
2.不产生小齿轮齿根过渡曲线干涉的条件: 小齿轮用齿条型刀具加工时
小齿轮用插齿刀加工时
|
1.增大内齿轮的变位系数 2.减少齿顶高 |
小齿轮齿根过渡曲线干涉容易发生,尤其是标准、高变位及啮合角小的角变位齿轮。相反,内齿轮齿根过渡曲线干涉较不易发生,只有当z1 z01、z02——加工齿轮1、齿轮2时,插齿刀齿数 α'01、α'02——加工齿轮1、齿轮2时的啮合角 αa01、αa02——加工齿轮1、齿轮2时的插齿刀的齿顶压力角 |
|
径
向
干
涉 |
|
当把小齿轮从内齿轮的中心位置沿径向装入啮合位置时,若CD>EF,则引起径向干涉 |
|
1.增大齿廓角 2.减小齿顶高 3.加大内齿轮和小齿轮的齿数差 4.加大内齿轮的变位系数(增大小齿轮的变位系数时,容易引起干涉) |
1.用插齿刀加工内齿轮时,在这种干涉下,内齿轮将产生径向进刀顶切 2.满足径向干涉条件,自然满足齿廓重叠干涉条件 不产生径向干涉的内齿轮最少齿数见表新直齿插齿刀的基本参数和被加工内齿轮不产生径向切入顶切的最少齿数z2min |